NAD+ Nedir
NAD+, nicotinamid adenin dinükleotid’in kısaltmasıdır ve NADH’nin okside olmuş formudur. Temel biyolojik işlevi, bir biyokimyasal reaksiyondan diğerine elektron taşımaktır; hücre içinde enerji aktarımı yapmak ve belirli koşullarda hücre dışı bölgelere enerji taşımak için çalışır. NAD+, ayrıca enzimlerin aktive edilmesi/devre dışı bırakılması, proteinlerin post-translasyonel modifikasyonu ve hücreler arası iletişimde de rol oynar. Hücre dışı bir sinyal molekülü olarak, NAD+’ın kan damarlarındaki, mesanedeki, kalın bağırsaktaki nöronlardan ve beynin belirli nöronlarından salındığı bulunmuştur.
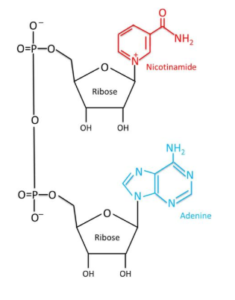
NAD+ Yapısı
-
Dizi: Yok
-
Moleküler Formül: C21H27N7O14P2
-
Moleküler Ağırlık: 663.43 g/mol
-
PubChem CID: 925
-
CAS Numarası: 53-84-9
-
Eşanlamlılar: nicotinamide adenin dinükleotid, beta-NAD, NAD, Endopride

NAD+ Etkileri
NAD+, hücresel metabolizma ve hücre dışı iletişim için gerekli bir destek molekülü olarak düşünülebilir. Araştırmalar, NAD+’ın enerji dönüşümü, DNA onarımı, bağışıklık savunması ve sirkadiyen ritimler gibi önemli rolleri olduğunu göstermektedir. Bununla birlikte, kofaktör seviyeleri hastalık durumu ve yaşa bağlı olarak değişkenlik gösterebilir. NAD+’ın doğal yaşlanmayla azalan seviyeleri aşağıdaki etkileri azaltır:
-
NAD+, DNA onarımı ve inflamatuar süreçlerde yer alan sirtuinler ve Poly-ADP-ribose polimerazlar gibi enzimleri aktive eder. Sirtuinler, kalori kısıtlamasının yaşam uzatma etkileri ile ilişkilidir.
-
NAD+, merkezi sinir sistemindeki nöronları ve diğer hücreleri oksidatif stresten koruyan PGC-1-alfa proteininin üretimini kontrol eder. Farelerde yapılan araştırmalar, bu etkinin özellikle yaşlanmayla ilişkili hafıza iyileşmesi ile bağlantılı olabileceğini göstermektedir.
-
Fare modellerinde NAD+, kan damarlarını yaşa bağlı sertleşme ve aterosklerotik plak birikimine karşı korur. Bazı çalışmalarda, NAD+ aortanın yaşlanmaya bağlı işlev bozukluğunu bile tersine çevirmeye yardımcı olur.
-
NAD+ verilen farelerde metabolizma oranı artar ve yağsız vücut kütlesi iyileşir.
-
Artan NAD+ seviyeleri, yaşlı farelerde kas gücü ve dayanıklılığı artırabilir.
-
NAD+, özellikle düz kaslar için hücre dışı sinyalizasyon ile ilişkilendirilmiştir ve gastrointestinal işlevde fayda sağlayabilir. Bu etki muhtemelen NAD+’ın kan basıncına olan faydalarından sorumludur.
NAD+ Eklemeleri ve Sinerjiler
NAD+ doğal olarak oluşan bir molekül olduğundan, diğer takviyelerle kolayca kombine edilebilir ve az yan etki ile sinerjik etkiler elde edilebilir. Bu durum, özellikle NAD+ diğer doğal takviyelerle birlikte kullanıldığında geçerlidir. Farelerde yapılan araştırmalar, bunu birkaç spesifik durumda desteklemektedir:
-
NAD+ ve yüksek doz biotin kombinasyonu ağrıyı azaltmaya yardımcı olabilir.
-
CoQ10, enerji metabolizmasında başka bir kofaktör, NAD+ ile sinerjik olarak çalışarak nörolojik fonksiyonu iyileştirebilir ve merkezi sinir sistemini oksidatif strese karşı koruyabilir.
-
Resveratrol ve NAD+, oksidatif hasarı azaltmak, inflamasyonu düşürmek ve LDL (kötü) kolesterol seviyelerini azaltmak için birlikte çalışabilir. Ayrıca diyabet ve nörodejeneratif hastalıklara karşı koruyucu olabilirler.
-
B1, B2 ve B6 vitaminleri NAD+ geri kazanımını artırır ve NAD+ takviyesi ile birlikte genel NAD+ seviyelerinin iyileşmesine yardımcı olabilir.
-
Kreatin ve alfa-lipoik asit gibi mitokondri ve enerji takviyeleri ile NAD+ kombinasyonu antioksidan ve yaşlanma karşıtı etkileri artırabilir.
NAD+ Araştırmaları
Anti-Aging Araştırmaları ve NAD+
Yaşlanma sürecinin temel sonuçlarından biri, mitokondrilerin kalite ve aktivitelerinde azalmadır. Mitokondriler, sinir hücresi ateşlenmesinden sindirim ve kas fonksiyonuna kadar her şey için enerji üretir. Mitokondri işlevlerinin azalması, normal yaşlanmayla ilişkilidir ve birçok yaşa bağlı hastalık sürecinin de bir faktörüdür. Araştırmalar, mitokondri yaşlanmasının hücresel senesans, inflamasyon ve kök hücre aktivitesinde değişikliklere yol açtığını göstermektedir.
Yeni araştırmalar, NAD+ takviyesi ile mitokondrilerde yaşa bağlı azalmaların bir kısmının tersine çevrilebileceğini göstermektedir. Bu fonksiyon, Harvard Üniversitesi’nden David Sinclair tarafından popüler hale getirilmiştir. 2013 yılında Sinclair, fare kaslarındaki mitokondrilerin NAD+ öncüsü enjekte edilerek gençleşebileceğini ortaya koymuştur.
Araştırmalar, yaşlanan farelerde NAD+ takviyesi ile mitokondri fonksiyonunun restore edildiğini ve nükleus-mitokondri iletişiminin tekrar başladığını göstermektedir. NAD+, ayrıca nükleusdaki SIRT1 fonksiyonunu aktive ederek bu genin yaşa bağlı ekspresyon azalmasını önler. SIRT1, hücresel metabolizma ve stres, yaşam süresi, inflamasyon ile ilgili süreçleri düzenleyen bir enzimi kodlayan gendir.
NAD+’ın Kas Fonksiyonundaki Rolü
Yaşlanma ve NAD+ arasındaki başka bir bağlantı iskelet kası dokusunda görülmektedir. Fare modellerinde, yaşa bağlı kas kaybı iki aşamada olur:
-
Aşama: Mitokondri gen ekspresyonunun azalması nedeniyle oksidatif fosforilasyon düşer.
-
Aşama: Hem mitokondri hem nükleus oksidatif fosforilasyonu düzenleyen genlerde bozulmalar başlar.
-
aşama geri döndürülebilirdir; NAD+ uygulanan farelerde mitokondri fonksiyonu iyileşir ve 2. aşamaya geçiş engellenir. Ancak müdahale yapılmazsa, NAD+ artık kurtarıcı olamaz. Bu, NAD+ takviyesinin erken dönemde yaşlanmayı önlemede kritik olduğunu gösterir.
Araştırmalar, egzersiz eğitimlerinin NAD+ takviyesi ile benzer etkiler sağladığını göstermektedir. Egzersiz, PGC-1-alfa seviyelerini artırarak mitokondri DNA’sını, oksidatif proteinleri ve anjiogenik proteinleri korumaya yardımcı olur.
NAD+ ve Nörodejeneratif Hastalıklar
NAD+ seviyelerindeki değişiklikler merkezi sinir sistemi üzerinde geniş etkiler yaratır ve Alzheimer, Huntington gibi nörodejeneratif hastalıklarla ilişkilendirilmiştir. NAD+, mitokondri fonksiyonunu iyileştirerek reaktif oksijen türü (ROS) üretimini azaltır. ROS, inflamasyon ve hastalık süreçlerinde hasara yol açar ve yaşlanmayı hızlandırır. NAD+ takviyesi, PARP inhibitörleri ile kombinasyon halinde sinerjik fayda sağlayabilir. PARP proteinleri DNA onarımı ve programlı hücre ölümünde rol oynar.
Farelerde yapılan Parkinson hastalığı modellerinde NAD+ takviyesi, motor fonksiyon kaybını ve dopaminerjik nöron ölümünü önler, böylece hastalığın gelişimini yavaşlatabilir veya engelleyebilir.
NAD+ ve İnflamasyonun Azaltılması
NAD+ seviyeleri, NAMPT enzimi tarafından düzenlenir. NAMPT inflamasyonla ilişkilidir ve bazı kanser türlerinde aşırı eksprese edilir. NAD+ takviyesi, NAMPT aktivasyonunu azaltarak inflamasyonu modüle edebilir. NAD+/NAMPT dengesi, obezite ve tip 2 diyabetle ilişkili insülin direncinin temel sürücüsüdür.
NAD+ ve Bağımlılık Tedavisi
İlaç ve alkol, NAD+ seviyelerini olumsuz etkiler. NAD+ takviyesi, amino asit kompleksleriyle birlikte bağımlılık rehabilitasyonunda isteği azaltabilir ve stres ile kaygıyı iyileştirebilir.
NAD+ Takviyesi ve Gelecek Araştırmalar
Hayvan modelleri, NAD+ takviyesinin mitokondri yaşlanmasının bazı etkilerini azaltabileceğini göstermektedir. NAD+, nörodejeneratif hastalıklar ve tip 2 diyabetin ilerlemesini yavaşlatma potansiyeline sahiptir. NAD+ minimal yan etkilere sahiptir; farelerde düşük oral ve mükemmel subkutan biyoyararlanım gösterir. İnsanlar için uygun değildir, sadece eğitim ve bilimsel araştırma amaçlıdır.
Makale Yazarı
Yukarıdaki literatür Dr. Logan, M.D. tarafından araştırılmış, düzenlenmiş ve organize edilmiştir. Dr. Logan, Case Western Reserve University Tıp Fakültesi’nden doktora derecesine ve moleküler biyoloji alanında B.S. derecesine sahiptir.
Bilimsel Dergi Yazarı
Shin-ichiro Imai, MD, PhD, memelilerde yaşlanma ve uzun ömür sistemik düzenlemesini anlamayı ve bu bilgiyi etkili anti-aging müdahalelerine dönüştürmeyi amaçlamaktadır. Temel olarak hipotalamus, iskelet kası ve adipöz doku üzerine odaklanır.
Shin-ichiro Imai, MD, PhD, NAD+ araştırma ve geliştirme çalışmalarında öncü bilim insanlarından biridir. Bu doktor, ürünün satın alınmasını, satışını veya kullanımını hiçbir şekilde onaylamamakta veya tavsiye etmemektedir.
Kaynaklar
-
Elysium Health, “NAD+ Science 101 – What Is NAD+ & Why It’s Important.”
-
Healthline, “Nicotinamide Riboside: Benefits, Side Effects and Dosage.”
-
R. T. Matthews et al., Proc. Natl. Acad. Sci. U. S. A., 1998.
-
WebMD, “What You Need to Know About Resveratrol Supplements.”
-
N. Sun et al., Mol. Cell, 2016.
-
D. Stipp, Scientific American Blog Network, 2019.
-
A. P. Gomes et al., Cell, 2013.
-
S. Imai ve L. Guarente, Trends Cell Biol., 2014.
-
A. R. Mendelsohn ve J. W. Larrick, Rejuvenation Res., 2014.
-
C. Kang et al., Exp. Gerontol., 2013.
-
S. Ringholm et al., Exp. Gerontol., 2013.
-
A. Lloret ve M. F. Beal, Neurochem. Res., 2019.
-
C. Shan et al., Prog. Neuropsychopharmacol. Biol. Psychiatry, 2019.
-
D. C. Maddison ve F. Giorgini, Semin. Cell Dev. Biol., 2015.
-
A. Garten et al., Nat. Rev. Endocrinol., 2015.
-
S. Yamaguchi ve J. Yoshino, BioEssays, 2017.
-
J. E. Humiston, FDA, 2019.
Tüm makale ve ürün bilgileri yalnızca eğitim ve bilgilendirme amaçlıdır. İnsan veya hayvan vücuduna giriş kesinlikle yasaktır.







Değerlendirmeler
Henüz değerlendirme yapılmadı.